求和
对于求和式(又称「级数」)
同一求和有多种不同的表达方式。例如,对于前
将两个求和式相加有:
伸缩求和法
这种类型的级数称为伸缩级数。总的来说,有
另外,我们实际已证明
即,前
即,前
类似地,对于立方项伸缩求和可得前
位移和面积
考虑速度为时间

该求和称为黎曼和。我们称其中最大的间隔为最大区间(mesh)。最大区间越小,估算便越准确。理想的条件是最大区间足够小,极限为
上述极限同时也意味着
定积分
上式可以表示为定积分
即函数
使用定义求定积分
例如,计算
将总长度

因此,可以作出如下估算:
以极限方法替代估算,使
定积分的性质
调换上下限
上下限相等
拆分
拆分常数
和差
求面积
对于
函数
若要求曲线与
例如,

可知
估算
若对
显然,由于上式表示有向面积,因此即使曲线位于
设

平均值和中值定理
函数
即,
上式等号两边所代表的意义分别表示于下图。

积分的中值定理描述,若

例如,从速度的角度考虑,一段旅途中一定有时刻
微积分基本定理
表示积分的函数
记函数
有
注意,
上式的基本思想是对积分下限的转换。
设连续函数
对于任意的 
第一基本定理
延续上述
分析可得
我们可以用长方形面积估算该积分,底为
而当
即,若
即,积分的导数就是原始函数。
设
即,积分下限的选择不影响求导结果。
反导数
我们定义
称
第二基本定理
延续上述定义,设
又因为
改写
整理即可得到如下结论:
若
我们通常将上式简写为
例如,已知
不定积分
如果已知一个函数的导函数,也就知道了该导数的反导数,即:
相比于表示一个数值的定积分,
即
任何可导函数仅有一个导数,任何可积函数都有无限多个反导数,因此上式对于任何常数
性质
若
以上性质源于导数的相关性质。即,和的积分是积分的和,常数可移至积分符号外。
计算不定积分
要使用第二基本定理计算定积分的前提是找到不定积分。由于
据此得到该导函数的反导数,即其积分:
上述计算结果中以
但是,
因此,
不过,上式并不完全正确。我们希望求得所有
实际计算中,通常只写出一个常数的原因是一次计算仅使用了一个常数。
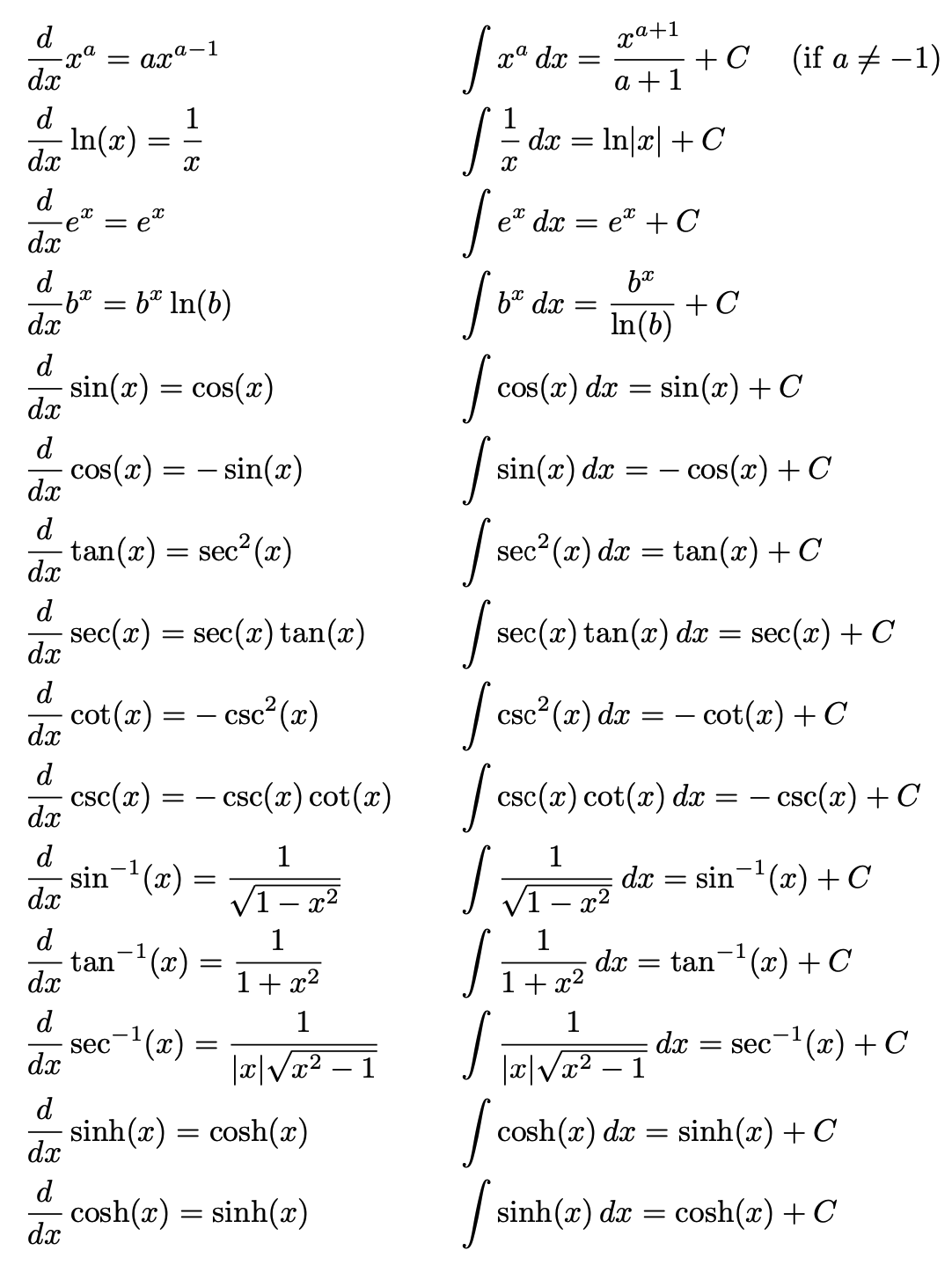
以下是需要掌握的微分和积分公式。

另外,我们知道,微分时,若以
而积分与之相反。根据上式,
显然,结果应当除以对应的乘数。
例题
总之,综合微积分第一和第二基本定理,我们可以写出
第一基本定理:上下限含变量
以下积分上下限均为关于
注意,对于积分上限中含变量的情况,则需使用链式法则。
第二基本定理:计算定积分
根据微积分第二基本定理,通过计算不定积分并代入上下限即可计算定积分。例如,
积分
换元法
使用换元法解决积分问题的基本思想是找出导数也在被积函数中的部分。例如,考虑定积分
注意到,
这或是一种没有实际意义的陈述,一种较合理的解释是当
事实上,本例是换元法的一种特殊情形。若将
另一种换元法是不设
对于形如
分部积分法
整理乘积法则并积分可得
称之为分部积分公式。上式是对原始积分结果的简写,事实上,
例如,考虑
显然,换元法不再适用。要使用分部积分法,便需设定
有时要连续使用分部积分法,例如,
若积分不是乘积形式,而是
部分分式法
若被积函数是有理函数,如
其中
代数运算
首先,检查分子和分母最高项的次数,使用长除法确保分子次数小于分母次数,例如,考虑
使用长除法计算商和余数:
据此将被积有理函数改写为
接下来应当对分母分解因式,之后,依据分母的形式,我们可将有理函数分解为多个「分部」,具体规则为:
- 线性式
: - 线性式的幂
: - 二次多项式
:
大写字母表示需要解出的常数。例如,以下有理函数可被分解为
由于上式为恒等式,即其对任意
对分解后的简单有理函数积分
形如
形式的积分仅需通过换元
分母为二次函数时,应首先判断其是否能因式分解,即判别式的正负。若不能因式分解,则应对二次函数配方再换元。例如,
令
第一项积分易解出:
对于形如第二项的积分,则需要掌握以下正切函数反函数的反导数的公式:
因此,
应用三角恒等式的积分
积分计算中常用的两个三角恒等式的形式为
例如,
以及,毕达哥拉斯恒等式及其变形
例如,
其中,第一项积分易通过换元法求解:
第二项积分则要改写为余切形式,并通过毕达哥拉斯恒等式转换为余割,然后写出其反导数:
第三类三角恒等式称为积化和差公式,可由
积化和差公式对于三角函数乘积的积分是必要的:
三角函数的幂的积分
或
对于形如
的积分,我们应借用三角恒等式和导数的性质,最终换元使得被积函数仅关于单一的三角函数。由于三角恒等式多为三角函数的平方的关系,我们应当注意被积函数中为奇数次幂的三角函数,从其中提出一次与
设
若三角函数的幂均为偶数,则需使用倍角公式将被积函数转化为新的关于三角函数的积分,然后按照相同的方法求解。
和
对于
设
对
类似地,对于
和
上述过程需要记忆,没有更好的办法。二次幂则显然:
处理更高次幂的方法是提出
对结果中更低次幂的的
类似地,对于
约化公式
试总结三角函数的幂的积分的一般性规律,例如,对于
设
此方程将整数
三角换元法
三角换元法用于计算关于二次函数平方根的奇次幂的积分,根据类型的不同,需要做出不同的换元,如图所示。

对于此类积分,做出
作出对应的三角形,对边为
根据所作的三角形换回以
此类积分需要换元
替换回
此类积分需要换元
需要配方的情况
若积分中的奇次幂为形如
此时,设
反常积分
我们称存在瑕点的积分为反常积分。瑕点可以是被积函数上的不连续点,也可以是积分上下限上的无穷。
处理反常积分的基本思想是,将其拆分,且保证每部分至多存在一个瑕点,然后各个积分的极限:若
若上述积分所对应极限存在,则称积分收敛(converge);否则,积分发散(diverge)。若积分中没有瑕点,则一定收敛,而非反常积分。由于不同反常积分收敛和发散的程度不一,反常积分问题通常只关注其敛散性,而非具体的收敛值。
有时,利用上述定义即可求解反常积分。例如,
即该积分收敛于
若瑕点在积分上下限上,则类似地有
比较判别法
事实上,多数形式较为复杂的反常积分无法直接通过定义求解,我们主要使用比较判别法——通过积分的大小关系转移敛散性。因此,应用比较判别法时,通常先通过拆分和提取负号以保证被积函数非负。对于非负函数
若
即
若
即
极限比较判别法是利用在瑕点附近敛散性一致的函数而判定积分敛散性的方法。若函数
则我们称
我们已知
此外,可以对渐进等价关系做乘积、除法和取幂,例如,
若被积函数在区间上震荡,则需应用绝对收敛判别法:事实上,
常见函数行为
要应用比较判别法,则需掌握常见函数在瑕点附近的行为。
首先,对于
事实上,我们可以总结出如下一般性规律:对于任何有限值
多项式型函数
设多项式型函数
指数函数
我们已知指数函数在
其中,
利用上述结论,选定
则
故原积分收敛。
对数函数
由于对数增长缓慢,对于任意